Klinische Evidenz

-Transcutaneous Stimulation of Auricular Branch of the Vagus Nerve Attenuates the Acute Inflammatory Response After Lung Lobectomy

Link zur Studie von: Mohamed Salama, Ahmet Akan, Michael Rolf Mueller

Die vorliegende Studie liefert erstmals den Nachweis, dass die afferente Intervallstimulation mithilfe des Ducest Neurostimulators einen Einfluss auf die Zytokinregulation über den Hirnstamm ausübt.



-Electrical Stimulation of the Greater Auricular Nerve to Reduce Postoperative Atrial Fibrillation

Link zur Studie von: Martin Andreas, Philipp Arzl, Andreas Mitterbauer, Nicolas M. Ballarini, Frieda-Maria Kainz, Alfred Kocher, Guenther Laufer and Michael Wolzt

Nach einer kardiochirurgischen Intervention könnte der Heilungsprozess, der inflammatorisch verläuft, mitverantwortlich für das postoperative Vorhofflimmern sein. Eine afferente aurikulare Stimulation könnte diesen inflammatorischen Prozess positiv beeinflussen, indem sie die Zytokinregulation verbessert.

– Low Back Pain Studie

Erklärung des Histogramms:

Bei dieser Studie handelt es sich auch um eine doppelblind randomisierte Studie, bei der die Placebo-Gruppe nicht stimuliert wurde – siehe grauer Balken. Verum-Gruppe – siehe schwarzer Balken. Die Patienten wurden 6 Wochen lang und pro Woche zwei Tage mit je 5 Tagen Pause therapiert. Sowohl Schmerz als auch Aktivität, Wellbeeing und Schlaf haben sich in der Verum-Gruppe signifikant verbessert. Eine aus der Therapie resultierende nachhaltige Wirkung konnte in der Verum-Gruppe nach der 6. Woche in allen Parametern festgestellt werden. Die Nachkontrollen in der 10., 14., und 18. Woche haben dies gezeigt.


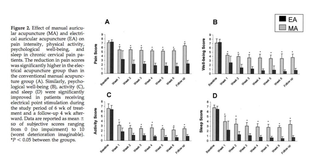
– Chronic Cervikal Pain Studie

Erklärung des Histogramms:

Erklärung des Histogramms:Bei dieser Studie handelt es sich um eine doppelblind randomisierte Studie, bei der die Placebo-Gruppe nicht stimuliert wurde – siehe grauer Balken. Verum-Gruppe – siehe schwarzer Balken. Die Patienten wurden 6 Wochen lang und pro Woche zwei Tage mit je 5 Tagen Pause therapiert. Sowohl Schmerz als auch Aktivität, Wellbeeing und Schlaf haben sich in der Verum-Gruppe signifikant verbessert.


– PAVK Studie

Eine klinische Studie von OA Dr. Thomas Payrits zur Vagalen Stimulation bei PAVK-Patienten untermauert die Wirksamkeit der DUCEST Neurostimulationstherapie: Neben einer guten Datenqualität und einer hohen Patientencompliance zeigen die Studienergebnisse einen signifi kanten Anstieg des transkutanen Sauerstoff partialdrucks zwischen Eingangs- und Abschlussuntersuchung. Auch die weiteren Wirksamkeits- und Lebensqualitätsparameter in Form von ABI SF-36 Health Surveys und Gehstreckentest weisen analoge Ergebnisse auf und bestätigen damit den therapeutischen Erfolg als wirksame Maßnahme zur Verbesserung der Leidenssymptome bei PAVK.

Payrits et al 2015, Publikation in Vorbereitung